概要
Isoform Sequencing Service(Iso-Seq), based on cutting-edge PacBio SMRT (Single Molecule, Real Time) technology, enables full-length reads being sequenced of entire transcript isoforms from 5’ UTR to 3’ polyadenylation without assembly required. Iso-seq is an ultra high-throughput method for characterizing gene fusion, alternative splicing and gene fusion events and improving annotations for genomes and discovery of novel transcripts by complementing for the potential error by the short reads.
Service SpecificationsApplications
In Medical Research
- Transcript annotation
- Fusion gene exploration
- Disease mechanism investigation
In Agricultural Research
- Functional study
- Fusion gene exploration
- Development and stress study;
- Collaboration for gene prediction and genome annotation
Advantages
- Largest sequencing capacity: We have the largest Illumina and PacBio sequencing capacities in the world, allowing us to provide high quality data, fast turnaround, and affordable prices.
- Comprehensive data analysis: We use widely accepted mainstream software and mature in-house pipeline to discover novel transcripts, differential expressions, and function annotations.
Sample Requirements
| Library Type | Sample Type | Amount | RIN (Agilent 2100) |
Purity (NanoDrop) |
| SMRTbell Library | Total RNA | ≥ 5 μg (Concentration ≥ 300ng/μl) | ≥ 9, with smooth baseline; 28S/18S ≥ 1.5 |
OD260/280: 1.8-2.2; OD260/230: ≥ 1.8; |
Sequencing Parameter and Analysis
| Platform | PacBio Sequel system | |
| Recommended Sequencing Depth | ≥ 15 G bases pair per sample | |
|
Standard Data Analysis
|
For Species with Reference | For Species without Reference |
|
|
|
Note: For detailed information, please refer to the Service Specifications and contact us for customized requests.
Project Workflow
Sampling:
Fresh-frozen primary and metastatic tumors with paired normal tissue
Sequencing Strategy:
1. Illumina Technology: sequenced on an Illumina Hiseq X Ten platform to generate 125 bp paired-end reads.
2. PacBio System: sequenced on a PacBio RS II small-molecule real-time (SMRT) sequencing platform by two SMRT cells.



Conclusion:
This study integrated second- and third-generation sequencing platforms to generate a multidimensional dataset on a patient affected by metastatic epithelial ovarian cancer. Besides, it reveals clinical application of the emerging long-read full-length analysis for improving molecular diagnostics is feasible and informative. An in-depth understanding of the tumor transcriptome complexity allowed by leveraging the hybrid sequencing approach lays the basis to reveal novel and valid therapeutic vulnerabilities in advanced ovarian malignancies.
Self-Recognition of an Inducible Host lncRNA by RIG-I Feedback Restricts Innate Immune Response
Background:
Innate immune system can sense the invading pathogens via pattern recognition receptors (PRRs) to initiate efficient innate response for the elimination of the pathogens. As the most extensively studied PRR for recognition of RNA virus, retinoic acid-inducible gene-I (RIG-I) has been shown to recognize viral RNAs in the cytoplasm and trigger innate immune response through the production of type I interferons (IFNs) and proinflammatory cytokines. However, the biological significance and the underlying mechanisms for the interaction of lncRNAs with RBPs in the immunity and inflammation remain to be further investigated. The increasing evidence for the RBP-lncRNA interactions in association with protein functions inspired us to ask whether RIG-I can bind to ‘‘self’’ cellular lncRNAs, and if so, what is the biological function and importance of such self-recognition in maintaining immune homeostasis by feedback restricting or timely terminating RIG-I recognition of ‘‘non-self’’ RNA-induced innate inflammatory response.
Sequencing Strategy:
1. RIP-seq
2. Pacific Bioscience RS II platform


Conclusion:
In this study, the full-length transcriptome sequencing was used to identify the full-length sequence of cytoplasmic lnc-Lsm3b, and a self-recognition model of lncRNA-RIG-I to inhibit RIG-I activation was found. This approach prevents overexpression of IFN-I to maintain the body’s immune homeostasis. lncRNA was identified as an important regulatory element for nucleic acid innate immune recognition and inflammation regulation, and it also revealed the key functions of lncRNA in anti-virus, providing new ideas for the study of prevention and treatment of inflammatory diseases.
A survey of the sorghum transcriptome using single-molecule long reads
Background:
Sorghum, a C4 crop plant used for food, feed, fibre and fuel, is one of the best-adapted cereals to drought and temperature; hence, used as a model system to investigate the molecular basis of adaptation to abiotic stresses. Although the genome sequence of several sorghum lines has been completed recently29,30, the transcriptome is not well annotated; the extent of alternative splicing (AS), the number of splice isoforms and transcriptome diversity due to alternative polyadenylation (APA) are largely unknown.
Sampling:
Sorghum (Sorghum bicolor L. Moench) seedlings under drought stress and control.
Sequencing Strategy:
1. Illumina Platform: Hiseq
2. PacBio System: performed on a PacBio RS II instrument for a total of 28 SMRTcells.


Conclusion:
In this study, full-length splice isoforms and APA sites of the sorghum transcriptome were sequenced and identified using Pacific Biosciences single-molecule real-time long-read isoform sequencing and developed a pipeline called TAPIS (Transcriptome Analysis Pipeline for Isoform Sequencing) to identify. The analysis results reveal transcriptome-wide full-length isoforms at an unprecedented scale and uncovered novel genes. These results greatly enhance sorghum gene annotations and aid in studying gene regulation in this important bioenergy crop.
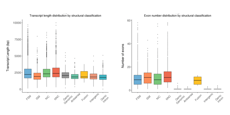
Figure 1 Transcript Classification

Figure 2 Alternative Splicing (AS)

Figure 3 Alternative Ployadenylation (APA)

Figure 4 GO Enrichment

Figure 5 lncRNA Prediction

Figure 6 Transcription Factor

